Welcome!

Benvenuti in queste pagine dedicate a scienza, storia ed arte. Amelia Carolina Sparavigna, Torino

Saturday, March 23, 2019

The Tsallis Distribution

The Tsallis Distribution





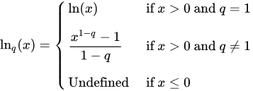
The Tsallis distribution was introduced in 1988 by Constantino Tsallis as a generalization of the Boltzmann-Gibbs distribution and has been used in many fields of physics.
The distribution introduces a new parameter q. In the limit where this parameter is 1 it reproduces the standard Boltzmann-Gibbs distribution.